科技前沿

当前位置: 首页 > 学院动态 > 科技前沿

键合类陶瓷外壳结构对高频信号传输性能的影响

- 编辑:小编 - 2021 / 12 / 31

    针对陶瓷外壳中影响高频信号传输性能的键合指、传输线、过孔和返回路径平面等结构进行仿真研究,得到了在 0~20 GHz 频带内的最优参数模型。将其应用于某 CLGA49 陶瓷外壳产品,高频信号传输性能实测结果与仿真结果符合较好,验证了仿真结果的准确性。结果表明,增大键合指与键合丝连接处的宽度为与之相连接微带传输线宽 2~2. 3 倍时,传输性能显著提高;单端阻抗为 50 Ω,线宽更窄的互连线更有利于传输高频信号; 过孔直径增大,接地过孔长度增长会改善传输性能; 减少陶瓷外壳中返回路径平面的层数会改善高频信号的传输性能。

随着大数据时代的到来和 5G 移动通信的发展,人们对高频信号传输的需求日益广泛和迫切。高密度、高速度、小型化的集成电路发展趋势对互连性能提出了更高的要求  。陶瓷外壳作为支撑芯片与板级基板之间信号传递的桥梁,其保持信号传输的质量对整体系统的性能具有重要的作用  。
键合类陶瓷外壳的键合指结构和陶瓷封装独特的叠层结构组成了复杂的信号传输通路。本文探究了此类陶瓷外壳结构对高频信号传输性能的影响,首先将此类陶瓷外壳中影响高频信号传输的完整通路分解为多个关键结构,然后根据传输线理论和电磁场理论,分析每一个结构对信号传输性能的影响。将修正后的模型应用于某 CLGA49 陶瓷外壳并进行测试,根据测试结果与仿真结果一致性,验证了结构特性仿真的准确性和实用性,得到了影响高频信号传输的因素,进而改善了传输性能。

1

构建模型分析


构建 CLGA 类外壳结构模型,将完整通路分解为键合指、微带传输线、过孔和返回路径平面 4 个关键结构。

1. 1 键合指

CLGA 类陶瓷外壳的键合指需要通过键合丝连接芯片区,由键合丝长度和数量等参数决定的寄生电感是影响信号传输的主要因素,阻抗不匹配的主要原因就是键合丝的电感效应强 。同时键合丝与键合指之间存在寄生电容 C 1 和 C 2 。图 1 为键合丝模型,其等效电路如图 2 所示。

键合类陶瓷外壳结构对高频信号传输性能的影响(图1)

图 1 键合丝模型

键合类陶瓷外壳结构对高频信号传输性能的影响(图2)

图 2 键合丝模型的等效电路

由键合丝和键合指结构可知,两者之间的寄生电容大小有限,为了保证良好的阻抗匹配,需要在键合指两端增加并联电容。在陶瓷外壳中,可采用阻抗变换的方法来实现增加并 联电容。

由增加的负载端看向的输入阻抗 (Z in ) 可表示为 

键合类陶瓷外壳结构对高频信号传输性能的影响(图3)

式中: Z L 为负载的特征阻抗; Z 0 为传输线的特征阻抗; α 为从增加负载端看向负载的信号传输距离的相位差,键合类陶瓷外壳结构对高频信号传输性能的影响(图4),其中 d 为阻抗为 Z L 的负载的长度,λ 为工作波长。式 ( 1) 变换后可得

键合类陶瓷外壳结构对高频信号传输性能的影响(图5)

键合类陶瓷外壳结构对高频信号传输性能的影响(图6)时,tan α>0。所以,当 Z L <Z 0 时,式 (2)等效为 Z in =R+jX,X<0,电抗部分为容性; 反之,电抗部分为感性。因此,在陶瓷外壳中可以串联低阻抗传输线来等效为增加并联电容。

在串联低阻抗传输线后的模型如图 3 所示,其等效电路如图 4 所示。

键合类陶瓷外壳结构对高频信号传输性能的影响(图7)

图 3 串联低阻抗传输线模型

键合类陶瓷外壳结构对高频信号传输性能的影响(图8)

图 4 串联低阻抗传输线模型的等效电路

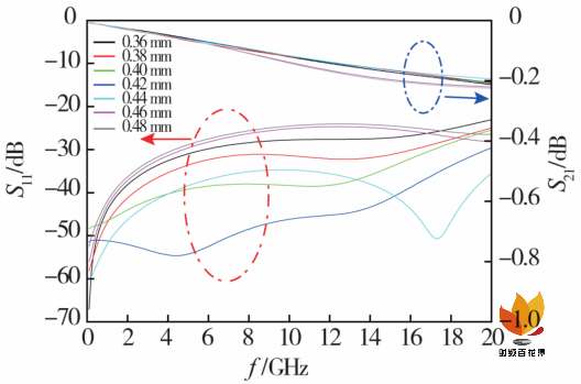
模型中传输线宽度为 0. 18 mm,介质为键合类陶瓷外壳结构对高频信号传输性能的影响(图9),将传输线匹配至 50 Ω。改变低阻抗传输线的宽度,在 0~20 GHz 的频带内对不同宽度的传输线进行仿真,宽度改变范围为 0. 36~0. 48 mm,得到 S 参数仿真结果如图 5 所示,图中 S 11 为回波损耗,S 21 为插入损耗。

键合类陶瓷外壳结构对高频信号传输性能的影响(图10)

图 5 键合丝结构 S 参数仿真结果

由图 5 可知,当低阻抗传输线宽度从 0. 36 mm 变化至 0. 42 mm 时,容抗接近感抗,S 参数逐渐变好,进而传输性能逐渐变好; 当从 0. 42 mm 变化至 0. 48 mm 时,容抗大于感抗,S 参数逐渐变差,进而传输性能逐渐变差。这证明了串联低阻抗传输线对整体键合结构的传输性能有显著的影响。

1. 2 微带传输线和过孔

在陶瓷外壳独特的叠层结构中,传输线和过孔组成的互连结构保证了信号的传输 。
1. 2. 1 微带传输线

选用微带传输线进行建模仿真来分析其宽度对高频信号传输性能的影响。在传输高频信号时,微带传输线中除了存在准 TEM 模,还存在波导模和表面波模。

因为微带传输线有一定厚度,根据边缘效应,相当于微带传输线的有效宽度增加了,微带传输线增加的线宽 (ΔW) 可表示为

键合类陶瓷外壳结构对高频信号传输性能的影响(图11)

式中 h 为介质厚度,单位 mm。

波导模的截止波长键合类陶瓷外壳结构对高频信号传输性能的影响(图12)

键合类陶瓷外壳结构对高频信号传输性能的影响(图13)

式中: W 为微带线的宽度; ε r 为介质的介电常数。由式 (3) 和式 (4) 可得

键合类陶瓷外壳结构对高频信号传输性能的影响(图14)
表面波模的截止波长键合类陶瓷外壳结构对高频信号传输性能的影响(图15) 为
键合类陶瓷外壳结构对高频信号传输性能的影响(图16)

根据式 (5) 和式 (6) 可知微带线的单模工作条件为

键合类陶瓷外壳结构对高频信号传输性能的影响(图17)

式中键合类陶瓷外壳结构对高频信号传输性能的影响(图18)为准 TEM 模。根据式 (7) 可知,减小微带传输线的线宽可减少波导模的传输,进而使微带传输线的高频信号传输性能得到改善。

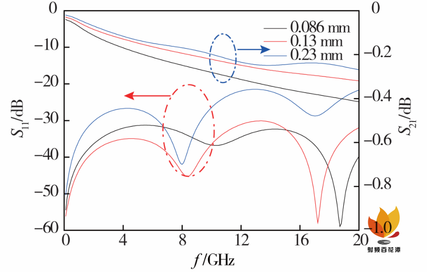
构建如图 6 所示的微带传输线模型,介质为键合类陶瓷外壳结构对高频信号传输性能的影响(图19),为保证 50 Ω 的阻抗匹配,将微带传输线的介质厚度分别设置为 0. 1、0. 15 和 0. 25 mm,对应的线宽分别为 0. 086、0. 13 和 0. 23 mm。

键合类陶瓷外壳结构对高频信号传输性能的影响(图20)

图 6 微带传输线模型的横截面

在 0~20 GHz 频带范围内对微带传输线进行仿真,S 参数仿真结果如图 7 所示。

键合类陶瓷外壳结构对高频信号传输性能的影响(图21)

图 7 微带传输线的 S 参数仿真结果

由图 7 可知,0. 086 mm 宽度的微带传输线更有利于传输高频信号,但由于趋肤效应和导体损耗,更细的微带传输线损耗也就更多。

1. 2. 2 过孔

过孔的结构及其周围环境决定寄生电容和电感,这些会影响信号感受到的阻抗 。接地过孔连接陶瓷外壳内部各层大面积金属化构成平面,当平面与平面之间电位不相等时会形成谐振腔,在某些频点出现阻抗极大值,从而恶化高频信号传输性能。因此,让信号过孔周围存在的接地过孔连接更多电位相同的平面可改善信号传输性能。构建如图 8 所示的不同长度的过孔模型,介质为键合类陶瓷外壳结构对高频信号传输性能的影响(图22)

键合类陶瓷外壳结构对高频信号传输性能的影响(图23)

图 8 不同长度接地过孔的模型

在 0~40 GHz 频带范围内对不同长度接地过孔进行仿真,结果如图 9 所示。红色线为增加接地过孔长度之后的结果,从图 9 可看出,连接两个返回平面后谐振消失,信号传输性能得到极大的改善。

键合类陶瓷外壳结构对高频信号传输性能的影响(图24)

图 9 不同长度接地过孔的 S 参数仿真结果

过孔半径是影响过孔阻抗的另一个重要因素。假设过孔的高度为H ,则其信号传输延时(T td ) 为

键合类陶瓷外壳结构对高频信号传输性能的影响(图25)

式中 c 为光速。同时,根据传输线的等效电路模型可得 T td 为

键合类陶瓷外壳结构对高频信号传输性能的影响(图26)

式中: L 为传输线的总串联电感; C 为传输线的总并联电容。

因此,联立式 (8) 和式 (9) 可得

键合类陶瓷外壳结构对高频信号传输性能的影响(图27)

若保持过孔高度为 H 不变,过孔的半径增大到原来尺寸的 β 倍时,由过孔产生的寄生电容减小到 C/β。由式 (10) 可知,此时由过孔产生的寄生电感增大到 βL。根据阻抗公式可得

键合类陶瓷外壳结构对高频信号传输性能的影响(图28)

式中: Z via-D 为孔径变化后的过孔阻抗; Z via-S 为变化前的过孔阻抗。

在图 8 增长接地过孔模型的基础上,改变信号过孔的半径,在 0~20 GHz 频带范围内对不同孔径的过孔进行仿真。选取过孔半径尺寸为0. 03、0. 04 和 0. 05 mm。S 参数仿真结果如图10 所示,过孔阻抗 (Z via ) 仿真结果如图 11 所示,图中 t 为测试信号经过过孔的时间。

键合类陶瓷外壳结构对高频信号传输性能的影响(图29)

图 10 不同孔径过孔的 S 参数仿真结果

键合类陶瓷外壳结构对高频信号传输性能的影响(图30)

图 11 不同孔径过孔的阻抗仿真结果

由图 10 和图 11 可得,过孔半径变小导致阻抗变大,连接过孔上下两部分的阻抗匹配性更好,进而使信号传输性能变好。

1. 3 返回路径平面

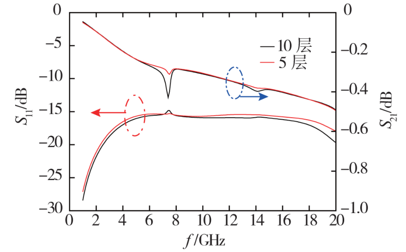
信号在陶瓷外壳的传输过程中,一定会存在一个完整的信号回路,即信号传输线和返回路径平面组成的信号回路。在陶瓷外壳内部存在由大面积金属化构成的返回路径平面,其与过孔和焊盘之间存在寄生电容。构建如图 12 所示的内部有不同返回路径平面层数的陶瓷外壳模型,选用介质为键合类陶瓷外壳结构对高频信号传输性能的影响(图31) 。

键合类陶瓷外壳结构对高频信号传输性能的影响(图32)

图 12 返回路径平面数量不同的模型

在 0~20 GHz 的频带范围内对不同返回路径平面数量的模型进行仿真,结果如图 13 所示。

键合类陶瓷外壳结构对高频信号传输性能的影响(图33)

图 13 返回路径平面数量变化时的 S 参数仿真结果
可以明显看出,减少返回路径平面数量后 S 参数得到改善,所以应在满足信号线有完整地传输回路时,减少返回路径平面数量。

2

验证仿真准确性


根据各个关键结构对传输性能的影响,对某型号 CLGA49 陶瓷外壳中的关键结构进行调整。图14 所示的模型为调整关键结构后的某 CLGA49 陶瓷外壳 20 GHz 传输端模型,其中介质为键合类陶瓷外壳结构对高频信号传输性能的影响(图34),介电常数为 9. 8; 微带传输线宽度调整为 0. 2 mm;键合指因外壳本身空间限制和绝缘要求,增大微带传输线宽度为 0. 3 mm; 接地过孔根据仿真结果进行加长调整; 信号过孔半径缩小为 0. 03 mm; 减少了返回路径平面层数,仅保留 3 层。

键合类陶瓷外壳结构对高频信号传输性能的影响(图35)

图 14 某型号 CLGA49 陶瓷外壳产品 20 GHz 传输端模型

使用探针台并且配备两组测试频率可达40 GHz的地 - 信号 - 地 (GSG) 高频显微探针进行测试,每对地 - 信号探针之间的间距为 0. 25 mm,而且每根探针的特征阻抗保持在 50 Ω,保证互连阻抗匹配。选用高带宽的同轴连接线,尽可能地降低高频信号在传输过程中的损耗,测试前使用校准件进行校准。选取 9 个外观较好的样品进行测试,图 15 为显微镜下高频探针与待测件测试图。

键合类陶瓷外壳结构对高频信号传输性能的影响(图36)

图 15 某型号 CLGA49 陶瓷外壳产品 20 GHz 传输端测试图

测试完成后,将测试数据与仿真数据结进行对比,如图 16 所示。图中,红色线条为 S 11 和 S 21 的仿真结果,在 0 ~ 20 GHz 频带范围内,S 21 最低为-0. 799 4 dB,S 11 最高为 -12. 723 5 dB。其余线条分别为 9 个样品的测试结果,在 0~20 GHz 频带范围内,S 21 为 - 0. 898 6 ~ - 0. 939 9 dB,S 11为-10. 863 ~ -12. 285 dB,9 个样品的结果一致性很好。

键合类陶瓷外壳结构对高频信号传输性能的影响(图37)

图 16 某型号 CLGA49 陶瓷外壳产品 20 GHz 传输端仿真与测试结果对比

样品的测试结果与仿真结果一致,这证明了修正模型方法的准确性和实用性。所以,可以基于此种建模仿真方法来研究分析实际陶瓷外壳结构特性对高频信号传输性能的影响。

3

结论


   根据测试结果与仿真结果对比可知,改善陶瓷外壳传输高频信号的性能可通过以下方式: 在键合指与键合丝连接处串联低阻抗传输线,阻抗匹配变得更好,使信号传输性能变好; 在传输高频信号时,满足阻抗匹配的条件,则线宽更窄的互连线更有利于传输高频信号; 过孔半径减小,接地过孔长度增长连接更多的返回路径平面都会改善高频信号传输性能; 在保证有良好的信号回路时,减少陶瓷外壳内部返回路径平面的数量会改善高频信号的传输性能。

作者:武伯贤,杨振涛,高岭,段强,余希猛
来源:半导体技术

键合类陶瓷外壳结构对高频信号传输性能的影响(图38)

声明:


本号对所有原创、转载文章的陈述与观点均保持中立,推送文章仅供读者学习和交流。文章、图片等版权归原作者享有。

投稿/招聘/推广/宣传 请加微信:15989459034

键合类陶瓷外壳结构对高频信号传输性能的影响(图39)


招生咨询电话:028-36792608、36792609、36792611、36792612
招生咨询QQ:800067858

地址:天府校区:天府新区视高经济开发区花海大道大学路1号 环天府校区:环天府新区天府大道陵州大学城1号
Copyright © 2006-2026 SCSTC.CN All Rights Reserved.蜀ICP备18005196号-1