科技前沿

当前位置: 首页 > 学院动态 > 科技前沿

用网络分析仪测量电缆的方法

- 编辑:小编 - 2021 / 12 / 03

摘要


    在使用网络分析仪测量电缆损耗的过程中,不正确的测试方法将使被测电缆的测量精度降低。针对各类型网络分析仪,通过补偿网络分析仪的时间延迟,结合具体实例,得出了补偿时间延迟之后,测量结果不确定度的评定。方法表明,在网络分析仪测试电缆的常规方法基础上,可以更加准确地进行电缆损耗的测量,具有广阔的应用前景。

用网络分析仪测量电缆的方法(图1)



1 引言


网络分析仪已成为表征元器件性能的测量工具之一。它能在5 Hz~110 GHz 的频率范围内对有源器件和无源器件,如放大器、混频器、双工器、滤波器、耦合器的特性进行表征。这些特征包括幅度和相位、驻波比、插入损耗或增益、衰减、群延迟、回波损耗、反射损耗、反射系数和增益压缩。现介绍其中的一种应用:准确测量电缆损耗的方法。


2 网络分析仪组成及测试器件的原理


2.1 网络分析仪组成

网络分析仪内部的硬件有用于激励的扫频信号源〔通常为内置信号源〕、用于测量部分入射信号和用于在同一传输线上分离反向行进信号的信号分离器件、用于信号检测的高灵敏度接收机以及用于观察结果的显示/处理电路等(见图1)。

用网络分析仪测量电缆的方法(图2)

图1 一般的网络分析仪方框图


2.2 网络分析仪测试器件的原理

网络分析仪测量作为参考信号的部分源功率,其余信号达到DUT,在该处部分信号被器件反射回去,部分信号通过该器件传输过去。被反射的信号产生由正向与反向行波构成的驻波,信号分离设备可分别检测它们。在测量反射的或传输的信号后,分析仪将其与参考信号取比值,从而测量出DUT的特性。


3 电缆损耗的定义及测量方法


(1)电缆损耗就是指电缆由于电阻、漏电等因素对信号造成的衰减,也就是电缆的衰减特性,一般用dB/km 表示。

(2)网络分析仪测试电缆的常规方法:是测量电缆馈线系统的插入损耗的电平值。一般将网络分析仪设置到传输测试方式,直达被测器件接入点处对网络分析仪进行校准。将被测电缆连接到网络分析仪的输入端与接收端之间,得到一条扫描曲线,网络分析仪上选择自动刻度功能,用网络分析仪的标志功能测试出电缆不同频率处的损耗值。


4 网络分析仪测试电缆损耗时的考虑


(1)网络分析仪可以同时对它的信号源频率和调谐接收机扫描,以进行激励-响应测量。由于来自被测件(DUT)的信号电平在给定瞬时可能与网络分析仪的频率不完全一致,故有时会导致测量结果的不明确。若被测件是一根有时间延迟T 的长射频电缆,而网络分析仪的扫描速率df/dt,则在电缆终端(网络分析仪接收机的输入端)上的信号频率将滞后于网络分析仪信号源频率,其大小为F=T·df/dt。若这个频移远大于网络分析仪的中频检波带宽(典型情况为数千赫兹),那么将产生由于处在中频滤波器频率响应曲线的范围之外而引入的误差。

(2)补偿时间延迟,以更好地进行电缆测量。一种方法是测试时不断的降低扫描时间到扫描曲线不再发生变化。或降低网络分析仪的IF 带宽到扫描曲线不再发生变化。如图2 所示,当用HP8713C网络分析仪测量一根3 m 电缆的传输响应时的上述效应。上方的迹线表示利用16.789 s 扫描时间时射频电缆的真实响应。下方的迹线用129 ms的缺省扫描时间,由于电缆的频移,数据相差约-0.5 dB。这个扫描时间对于特定的被测件来说是太快了。

用网络分析仪测量电缆的方法(图3)

图2 用HP8713C 网络分析仪测量

另一种方法是对于HP8753C 网络分析仪测电缆不用增加扫描时间,通过取消HP8753C 面板上的R 通道搭线而连接上长度与被测件电缆大致一样的第二根电缆,结果便可能修正。这就使参考路径与被测路径中的延迟相等,因而网络分析仪按比值计算的传输测量便不会有频移误差。图3 中下方迹线示出当用HP8753C 以100 ms 扫描时间测量同一电缆时所得到的更加不明的结果。不仅数据存在误差,而且误差的大小在某些频率上出现更明显的跳变,这些频率是HP8753C 的边带频率。由于网络分析仪的扫描速率(df/dt)在不同频带发生变化,故迹线呈跳变状。这导致整个电缆上出现不同的频移,因而数据有不同的误差量。图3 中上方的迹线表示利用相同100 ms 扫描时间、但R 通道内有匹配电缆时对被测件进行的测量结果。

用网络分析仪测量电缆的方法(图4)

图3 用HP8753C 网络分析仪测量


5 电缆损耗测量结果不确定度评定


(1)网络分析仪补偿时间延迟后测量的数学模型:

A=A0

式中:A———被测电缆的损耗值;

                   A0———网络分析仪测试电缆的实测值。

(2)不确定度的来源

  1. 被测电缆的测量重复性引入的不确定度分量;
  2. 网络分析仪校准引入的不确定度分量;
  3. 标准不确定度评定。

(a)输入量A0 的标准不确定度u(A0)的评定输入量A0 的不确定度主要来源于HP8713C 网络分析仪校准引入的不确定度分量,按B 类方法进行评定。HP8713C 网络分析仪送上级计量机构检定,给出校准不确定度为:

u=0.21 dB(k=2)
用网络分析仪测量电缆的方法(图5)

估计用网络分析仪测量电缆的方法(图6),则自由度ν=50。

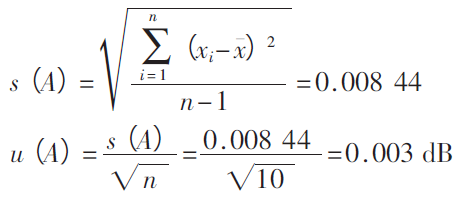
(b)输入量A 的标准不确定度u(A)的评定输入量A 的不确定度主要来源于被测电缆的测量重复性,可通过连续测量得到,采用A 类方法进评定:

选一根质量好的电缆,测频点1.2 GHz,在相同的条件下连续重复测10 次,得到该频率点的损耗值(见表1)。

用网络分析仪测量电缆的方法(图7)

单次实验标准差:

用网络分析仪测量电缆的方法(图8)

自由度:ν=10-1=9

(c)合成标准不确定度

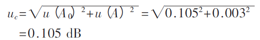
合成标准不确定度:
用网络分析仪测量电缆的方法(图9)
合成标准不确定度的有效自由度:
用网络分析仪测量电缆的方法(图10)

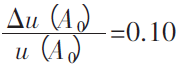
(d)扩展不确定度

取置信概率p=95%,按有效自由度νeff=50,查t分布曲线用网络分析仪测量电缆的方法(图11)

扩展不确定度:用网络分析仪测量电缆的方法(图12)

上述各标准不确定度的汇总表见表2 所示。

用网络分析仪测量电缆的方法(图13)


6 结束语


针对用网络分析仪测量电缆损耗这一特殊的应用,提出了用补偿时间延迟的方法,从而有效地避免了在实际测量中来自被测件(DUT)的信号电平在给定瞬时可能与网络分析仪的频率不完全一致时,产生由于处在中频滤波器频率响应曲线的范围之外而引入的误差。通过电缆损耗测量结果不确定度评定,表明在网络分析仪测试电缆的常规方法基础上,采用补偿时间延迟法,可以更加准确地进行电缆损耗的测量,具有广阔的应用前景。
来源:中国测试技术

用网络分析仪测量电缆的方法(图14)

声明:


本号对所有原创、转载文章的陈述与观点均保持中立,推送文章仅供读者学习和交流。文章、图片等版权归原作者享有。

投稿/招聘/推广/宣传 请加微信:15989459034

用网络分析仪测量电缆的方法(图15)


招生咨询电话:028-36792608、36792609、36792611、36792612
招生咨询QQ:800067858

地址:天府校区:天府新区视高经济开发区花海大道大学路1号 环天府校区:环天府新区天府大道陵州大学城1号
Copyright © 2006-2026 SCSTC.CN All Rights Reserved.蜀ICP备18005196号-1